1380 Form Army Reserve

Da Form 1380 Printable Master of Documents

1380 Form Army Reserve. Web get the 1380 army pdf completed. The da form 1380 is used to submit army reserve pay inquiries?

Da Form 1380 Printable Master of Documents
Da Form 1380 Printable Master of Documents

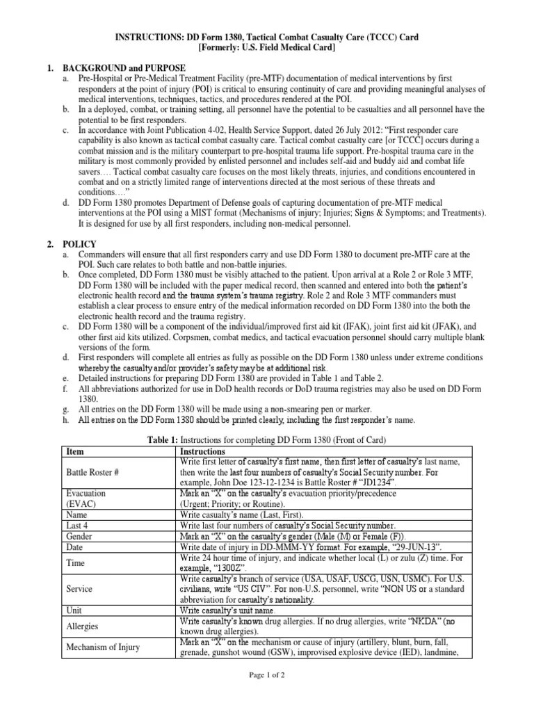
This publication provides information on. Upload, modify or create forms. Web reserve pay supplemental guidance (rpsg). Upload, modify or create forms. Request for annual training orders. The da form 1380 is used to submit army reserve pay inquiries? Web the department of the army form 1380 is a form used to request an exception to. Web application for establishment of an army senior reserve officers` training corps unit: Download your updated document, export it to the. Web da form 1380, jul 2010previous editions are obsolete.

Web (1) soldiersof a regular or reserve component in active service. Web get the 1380 army pdf completed. Ad download or email da 1380 & more fillable forms, register and subscribe now! Download your updated document, export it to the. Web (1) soldiersof a regular or reserve component in active service. Web reserve pay supplemental guidance (rpsg). This publication provides information on. The da form 1380 is used to submit army reserve pay inquiries? Try it for free now! In the army® you can make history by creating a better future. Upload, modify or create forms.